| 索 引 号 | 113708120043222000STHJJ/2024-02084 | 公开方式 | 主动公开 |
| 发布机构 | 兖州区生态环境局 | 组配分类 | 行政处罚自由裁量基准 |
| 成文日期 | 2024-05-15 | 废止日期 | |
| 有效性 |
山东省生态环境行政处罚裁量基准适用规定
第一条目的意义
为提高全省生态环境主管部门依法行政能力和水平,规范行政处罚裁量权的行使,避免行政处罚的随意性、任意性,根据《中华人民共和国行政处罚法》《中华人民共和国环境保护法》《环境行政处罚办法》《关于进一步规范适用环境行政处罚自由裁量权的指导意见》等法律法规文件规定,结合本省实际,制定本规定。
第二条适用范围
《山东省生态环境行政处罚裁量基准》适用于全省各级生态环境主管部门行政处罚裁量。各市生态环境主管部门可在本基准基础上,参照制定适用于本辖区的生态环境行政处罚裁量基准。
第三条基本原则
行使生态环境行政处罚自由裁量权,应当遵循合法合理、过罚相当、公平公正、罚教结合的基本原则。
第四条裁量方式
本基准采用多因素裁量的方式,根据违法行为设定若干裁量因素,按照违法行为不同的情节和危害程度确定裁量等级,科学计算确定处罚金额。
裁量因素的设置主要考虑以下因素:违法行为造成的环境污染、生态破坏以及社会影响;违法行为当事人的主观过错程度;违法行为的具体表现形式;违法行为危害的具体对象;违法行为当事人是初犯还是再犯;改正生态环境违法行为的态度和所采取的改正措施及效果。同类违法行为的情节相同或者相似、社会危害程度相当的,行政处罚种类和幅度应当相当。
本基准设置了山东省生态环境行政处罚裁量表,主要分为专项处罚裁量表和通用处罚裁量表两种。对国家和山东省现行生态环境保护法律法规规章中268种特定生态环境违法行为进行行政处罚裁量,适用专项处罚裁量表;对除特定生态环境违法行为以外的其他违法行为进行行政处罚裁量,适用通用处罚裁量表。
第五条金额计算
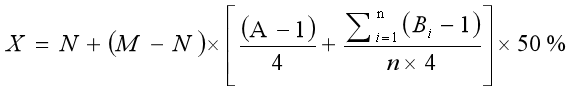
推荐计算公式:

X:处罚金额;
M:法定处罚金额上限;
N:法定处罚金额下限;
A:首要裁量因素裁量等级;
B:其余裁量因素裁量等级;
n:其余裁量因素个数。
当只有一个裁量因素时,A=B=裁量因素裁量等级,n=1;当有多个裁量因素时,A=裁量因素最高裁量等级,Bi=其余裁量因素裁量等级。若裁量等级最高的裁量因素同时有多个时,任选其中一个裁量因素作为A,其余的按Bi进行计算。法定处罚金额下限未明确的,N=0。
生态环境主管部门裁定处罚金额时,首先确定裁量表中各项裁量因素的裁量等级,再通过计算公式确定处罚金额。罚款金额取整到“元”,不足1元的予以舍去。
第六条裁量计算器
省生态环境厅将充分运用信息化手段,开发具备“行政处罚自由裁量计算器”功能的自由裁量系统,严格按照裁量规则和基准设计并及时更新。裁量计算器通过输入有关裁量因素,自动计算处罚金额,实现金额裁定的高效、便捷、准确。
第七条从重情形
有下列情形之一的,可以从重处罚:
(一)两年内因同类生态环境违法行为被处罚3次(含3次)以上的;
(二)重污染天气预警期间实施超标排放大气污染物等涉气生态环境违法行为的;
(三)在案件查处中对执法人员进行威胁、辱骂、殴打、恐吓或者打击报复,或者对举报人、证人打击报复的;
(四)生态环境违法行为造成跨市级以上(含市级)行政区域环境污染或者生态破坏的;
(五)生态环境违法行为引起多次查证属实的环境信访或产生较大负面社会影响的;
(六)伪造、变造证据材料,或者隐匿、销毁违法证据的;
(七)其他具有从重情节的。
对符合从重处罚情形的案件,可以在裁量表确定罚款金额的基础上增加一定的百分值,但一般不超过40%,且从重处罚后的罚款金额应以最高的法定罚款金额为限。作出从重处罚决定的案件,应当在案卷中附具理由和证据材料。
第八条从轻或者减轻情形
有下列情形之一的,应当依法从轻或者减轻处罚:
(一)主动消除或者减轻生态环境违法行为危害后果的;
(二)受他人胁迫有生态环境违法行为的;
(三)配合生态环境主管部门查处生态环境违法行为有立功表现的;
(四)其他依法从轻或者减轻行政处罚的。
对符合从轻处罚情形的案件,可以在裁量表确定罚款金额的基础上减少一定的百分值,但一般不超过20%,且从轻处罚后的罚款金额以最低的法定罚款金额为限。作出从轻或者减轻处罚决定的案件,应当在案卷中附具理由和证据材料。同时具有从重、从轻或者减轻情节的,应综合考虑,根据主要情节适用处罚。
第九条免予处罚情形
有下列情形之一的,可以免予处罚:
(一)因突发故障等非主观故意因素导致污染防治设施不正常运行,24小时内及时报告并采取停、限产措施减少污染物排放,且日均值未超标的。
(二)超标排放污染物,常规污染物单因子超标倍数≤0.1倍,次日完成整改并达标排放的。
(三)建设项目未依法备案环境影响登记表,经责令改正后于5个工作日内按要求完成备案的。
(四)未设置或者未规范设置危险废物识别标志等危险废物管理不规范行为,首次发现,经现场检查指出后立即改正的;不规范贮存危险废物,数量小于0.1吨,经现场检查指出后立即改正,且未污染外环境的。
(五)未密闭易产生扬尘的物料,或者未采取有效措施防治扬尘污染,首次发现,未造成明显环境污染后果,经责令限期改正后及时完成整改的。
(六)不正常使用焊烟收集处理设施,首次发现,焊机不超2台,经现场检查指出后及时整改的。
(七)重点排污单位环境信息未及时公开或者公开内容不全,首次发现,按要求及时完成整改的(不含公开内容弄虚作假行为)。
(八)其他违法行为轻微并及时纠正,没有造成危害后果的。
对适用免予行政处罚情形的案件,应当在执法档案中附具理由和证据材料。省级将根据情况,适时调整发布轻微生态环境违法免罚清单。市级生态环境主管部门可以根据情况确定本地区轻微生态环境违法免罚清单,向社会公布并实施。
第十条裁量规则和基准使用
案件调查取证中,执法人员应当以裁量规则和基准为指导,全面调取有关违法行为和情节的证据;在提交行政处罚案件调查报告时,不仅要附有违法行为的定性证据,还应根据裁量因素提供定量证据。若执法人员在案件调查取证中确因客观因素未能调取到裁量表中部分裁量因素的情节和证据,在案件调查报告中应注明,则计算处罚金额时不考虑该项裁量因素。
案件审查过程中,审查人员应当严格遵守裁量规则和基准,对具体案件违法行为和情节的定量证据进行审查;重大执法决定法制审核时,应当对案件的裁量情况和证据进行法制审核,并出具书面的法制审核意见;经集体审议的案件应当专门对案件的裁量情况进行审议,书面记录审议结果,并随案卷归档。
裁量基准一般不得突破,对确需突破裁量基准进行处罚的案件,应当经过案件办理机关集体审议决定,并在案卷中附具理由、案件集体讨论笔录和证据材料。
第十一条法律适用
一个违法行为同时违反两个以上法律、法规或者规章条款,应当适用效力等级较高的法律、法规或者规章,效力等级相同的,可以适用处罚较重的条款;实施了两个以上生态环境违法行为,若违法行为之间存在必然牵连关系的,应当选择处罚较重的违法行为予以认定,并给予处罚;若违法行为之间不存在必然牵连关系的,应当对每个违法行为分别依法给予处罚。
第十二条备案管理
生态环境主管部门制定的裁量规则和基准规范性文件,应当以政府网站公开等方式向社会发布,接受社会监督。生态环境主管部门应当在裁量规则和基准制发或者变更后15日内报上一级生态环境主管部门备案。对不按裁量规则和基准进行裁量,不规范行使行政处罚自由裁量权构成违纪违法的,依规依纪依法追究责任。
第十三条有关术语
“两年内未受到过其他处罚”等处罚记录信息中的“两年内”,是指以当次行为发生之日为起算点往前追溯两年。
“3个月以内或2次以下”等违法行为持续时间或者发生频次信息中的次数是指以当次行为发生之日为起算点往前追溯2年内此种违法行为的发生次数。
“企业规模”中的“大中小微型企业”参照国家统计局《统计上大中小微型企业划分办法(2017)》认定,如有更新,按最新版本认定。
“排污超标状况”存在多个污染因子超标的,以超标倍数最高的污染因子进行等级裁量;“小时烟气流量”以超标当日在线小时烟气流量最高值认定;“水日排放量”以超标当日在线污水排放量认定。
“突发环境事件分级”以《国家突发环境事件应急预案》中的“突发环境事件分级标准”认定;“辐射事故等级”按照《放射性同位素与射线装置安全和防护条例》第四十条进行认定。
本基准中的“以上”含本数,“以下”不含本数。