| 索 引 号 | 11370812004322293Y/2024-01772 | 公开方式 | 主动公开 |
| 发布机构 | 兖州区统计局 | 组配分类 | 统计调查制度 |
| 成文日期 | 2024-02-23 | 废止日期 | |
| 有效性 |
一、调查目的
工业生产是社会再生产的重要组成部分。在我国,工业部门是国民经济中所占比重较高的生产部门,其发展速度、规模、效益以及生产结构的调整直接影响着国民经济的发展。
工业生产者价格包括工业企业产品第一次出售时的出厂价格和企业作为中间投入的原材料、燃料、动力购进价格(下简称工业生产者购进价格)。工业生产者价格调查的目的在于及时、准确、科学地反映各工业行业产品价格水平及其变动趋势和幅度,为国民经济核算、计算工业发展速度、宏观经济分析和调控、理顺价格体系等提供科学、准确的依据。
二、调查任务
(一)调查工业生产者出厂价格及购进价格。
(二)编制全国、各省(区、市)及大中城市的工业生产者出厂价格总指数及各种分类指数和工业生产者购进价格总指数及各种分类指数,反映工业生产者出厂价格和购进价格的变动趋势及幅度。
(三)为国民经济核算、测算工业发展速度提供各种分组的价格指数。
(四)结合工业经济情况和相关经济活动,开展统计分析,及时反映工业生产及市场中的新情况、新问题,为各级党政领导和管理部门宏观决策提供服务。
(五)向社会发布工业生产者价格信息,正确引导市场走向和行业结构调整,为社会公众提供咨询服务。
(六)编制设备工器具价格指数,为固定资产投资价格统计和清产核资提供依据。
三、调查方式、调查日期和调查内容
(一)工业生产者价格调查采用重点调查与典型调查相结合的调查方法。重点调查将全部年主营业务收入2000万元以上的企业列为调查对象,采用主观选样的方法选择调查企业;典型调查是把年主营业务收入2000万元以下的企业作为抽样对象,采用随机抽样的调查方法。
(二)工业生产者价格调查实行月报,调查日期为调查月的5日和20日。
(三)工业生产者价格调查内容包括报告月调查日的工业生产者出厂价格和购进价格及相应的基期价格。
企业上报的报表包括报告期单价和上月单价,产品报告期单价为报告月5日、20日两次所采单价的简单平均值。对于报表中的产品代码、产品名称、销售条件等内容都要认真填报。
工业生产者出厂价格统计调查目录涉及41个工业行业大类,201个工业行业中类,581个工业行业小类的工业产品。根据我国工业企业产品的实际销售情况,从《统计用产品分类目录》中选定了20000多种工业产品,并将其划分为1638个基本分类。
四、调查资料的上报方式
工业生产者价格调查资料的上报采取联网直报方式,严格按照制度各报表规定的调查内容、上报时间报送数据。
五、工业生产者价格指数的编制方法
(一)代表产品的选择原则
1.按工业行业选择基本分类和代表产品。各个主要工业大类行业和百分之九十以上的中类行业,都应选择足够的基本分类和代表产品,以使价格指数较好地反映各行业工业生产者价格变化情况。代表产品所代表的行业销售产值应超过当年全部工业销售产值的70%。
2.选择对国计民生影响大的产品。一般来看,销售产值大的产品对国计民生影响就大,因此都应选择为代表产品。
3.选择生产较为稳定的产品。一旦被选为代表产品,就要连续调查一个时期。所以选择代表产品时一定要考虑其生产的稳定性,试生产、经济寿命短的产品不应被选为代表产品。
4.选择有发展前景的产品。部分产品如电子产品、生物制品、新材料等,尽管其当期销售产值较小,但它是有前途的产品,随着时间的推移,就会占有市场,所以要将这样的产品选为代表产品。而部分产品尽管一时销售产值较大,但已是国家明令淘汰或是将被市场淘汰的,则不应选为代表产品。
5.选择具有地方特色的产品。一些产品尽管生产量不大,但具有地方特色,也应被选为调查项目。
(二)代表企业的选择原则
对于每个代表产品,每个地区要尽可能选择多个企业进行填报。在选择代表企业时,应遵循以下原则:
1.按工业行业选择调查企业,各中类行业原则上都要有调查企业。调查企业要合理分布,不能遗漏,也不能过于集中。就编制指数的地区来讲,原则上有产值的中类行业一定要有调查企业。
2.大型企业应尽量都选上(或占相当大比重)。同时,也应采用抽样方法适当选择一些中小企业,使工业生产者价格指数更加准确、全面地反映客观实际。
3.选择生产稳定、正常的企业作为调查对象。一旦企业被选中作为调查企业,就要稳定一段时间,所以选择调查企业时一定要注意其是否生产正常、稳定。
(三)权数的确定
工业生产者价格指数编制的权数资料,来源于分行业工业销售产值数据及典型调查资料。
(四)我国PPI价格指数计算方法
1.省级及省级以下指数计算方法
(1)基本分类指数的计算。
代表产品月环比指数的计算:
根据该代表产品下所属代表规格品价格变动相对数,采用几何平均法计算,计算公式为:

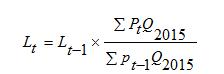
(2)各类定基指数的计算

(3)指数的换算方法

2.全国指数的计算
全国指数根据各省指数按其工业销售产值加权平均计算。
六、数据处理
在数据处理系统中各级统计机构在规定的时间内采取分级审核和汇总的方式进行数据处理。
七、数据发布
工业生产者价格指数资料通过国家统计局外网、新闻发布会、中国统计年鉴、中国经济景气月报、中国统计摘要、中国统计提要或其他统计资料等形式对外发布。